Bekerja di PT kerap menjadi idaman bagi para job seeker dan fresh graduate yang ingin memiliki gaji yang besar. Sudahkah kamu memahami seperti apa contoh surat lamaran kerja di PT sebagai karyawan yang baik dan benar? Jika belum, yuk simak referensinya di artikel berikut!
Menulis surat lamaran kerja menjadi hal yang menarik sekaligus menantang bagi para pelamar kerja.
Dalam surat lamaran kerja yang dibuat, para pelamar berkompetisi untuk menunjukkan kualifikasi mengenai dirinya agar lebih unggul dibanding kandidat lainnya.
Pentingnya pengetahuan tentang membuat surat lamaran kerja yang baik dan benar menjadi modal bagi para jobseeker agar besar peluang diterima bekerja di PT.
Ulasan kali ini Tim Panduan akan membahas terkait apa saja yang perlu kamu ketahui untuk melamar kerja di perusahaan besar seperti PT. Yuk budayakan membaca artikel sampai habis!
Baca Juga : 5 Contoh Surat Lamaran Kerja Part Time Berikut Tips Suksesnya!
Mengapa Harus Bekerja di Perusahaan Besar
Bekerja di perusahaan besar menawarkan banyak keuntungan di samping banyak yang menganggap bekerja di perusahaan besar memiliki gaji yang besar dibanding bekerja di perusahaan yang kecil.
Mengutip dari liputan6, berikut ini adalah alasan mengapa kamu harus bekerja di perusahaan yang besar.
-
Gaji yang lebih tinggi ketimbang perusahaan kecil
Alasan mengapa banyak fresh graduate yang tertarik apply kerja di perusahaan PT yaitu karena penawaran gaji yang lebih tinggi.
-
Benefit karyawan lebih banyak
Bekerja di perusahaan besar seperti PT biasanya mendapatkan banyak benefit seperti bonus tahunan, THR, bonus performa kerja, upah lembur, jaminan kesehatan dan fasilitas gym di kantor.
-
Tugas yang jelas secara terstruktur
Dalam perusahaan PT biasanya sudah memiliki sistem pembagian tugas secara terstruktur.
Karyawan tidak perlu khawatir mengenai tugas yang menyimpang dari job desk atau posisi pekerjaannya.
-
Jenjang karir lebih tinggi
Perusahaan PT juga memberikan kesempatan bagi karyawannya untuk mengembangkan diri dengan mengikuti berbagai pelatihan hingga jenjang karir lebih tinggi di perusahaan.
-
Networking yang lebih luas
Kamu berkesempatan untuk menjaring relasi yang lebih luas di perusahaan besar, selain karyawannya banyak kamu juga dapat mengenal perusahaan partner dari PT yang kamu jalankan.
Baca Juga : 5 Contoh Surat Lamaran Kerja Driver Berbagai Posisi, Lamar Sekarang!
Format Membuat Surat Lamaran Kerja di PT
Salah satu proses yang tidak boleh kamu lewatkan saat melamar kerja yaitu memahami bagaimana format surat lamaran kerja di PT.
Inilah format lengkap untuk surat lamaran kerja di PT sebagai karyawan.
-
Tempat Pembuatan Surat Hingga Identitas Perusahaan
Sebelum menuliskan tujuan surat lamaran kerja dibuat, lengkapi bagian surat dengan menuliskan tanggal penulisan surat yang terletak di pojok kanan atas.
Berikutnya tulis juga identitas penerima surat seperti nama penerima surat, nama perusahaan, dan alamat perusahaan.
-
Menuliskan Salam Sapaan Serta Menuliskan Maksud Surat
Selanjutnya buka surat dengan salam “Kepada Yth (baris baru) Dengan Hormat,” sebagai bentuk menunjukkan hormat dan menghargai kepada perusahaan.
Tulis isi surat ini dengan menuliskan maksud mengirim surat serta menginformasikan darimana dan kapan mendapat surat lamaran kerja.
-
Menulis Identitas Diri Beserta Lampiran
Pada isi surat berikutnya kamu menuliskan identitas diri yang terdiri dari nama, tempat dan tanggal lahir, lulusan, status menikah, dan kontak nomor telepon serta email.
Bagian identitas diri juga akan menjadi sorotan bagi perekrut yang didukung dengan lampiran dokumen dan sertifikat.
-
Menjelaskan Kualifikasi Diri
Bagian yang tidak boleh pelamar lewatkan yaitu menjelaskan kualifikasi diri yang diperlukan oleh perusahaan.
Terlebih jika kamu memiliki pengalaman, kamu bisa menuliskan hasil kerjamu di tempat bekerja sebelumnya berikut berapa lama kamu mengalaminya.
-
Tunjukkan Antusias dan Semangat Harapan Agar Diterima
Setelah cukup menjelaskan diri secara singkat dalam surat lamaran kerja, jangan mengakhirinya dengan biasa-biasa saja.
Kamu bisa tutup surat lamaran kerja dengan menunjukkan antusias serta semangat dengan harapan perusahaan menindaklanjuti surat lamaran kerja yang mereka terima.
-
Akhiri dengan Salam dan Ucapan Terima Kasih
Seperti sebelumnya kamu menulis surat mengawalinya dengan salam, kini kamu juga mengakhiri surat dengan sapaan terima kasih atas perhatian serta waktu perekrut yang sudah diluangkan saat membaca surat lamaran kerja.
Baca Juga : [FREE DOWNLOAD] 5 Contoh Surat Lamaran Kerja di Apotek yang Baik dan Benar
Contoh Surat Lamaran Kerja di PT Sebagai Karyawan
Kini kamu sudah tahu cara membuat surat lamaran kerja di perusahaan besar, berikutnya simak apa saja contoh surat lamaran kerja di PT sebagai karyawan yang bisa menjadi referensi.
perusahaan pt.docx
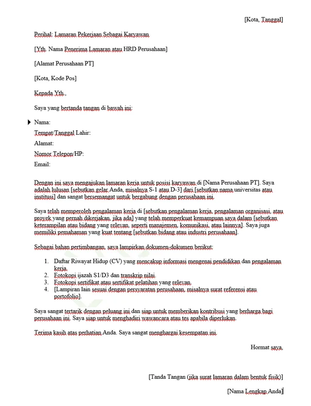
1. Contoh Surat Lamaran Kerja di PT Sebagai Karyawan Lulusan SMK
![[DOWNLOAD] 4 Contoh Surat Lamaran Kerja di PT Sebagai Karyawan contoh surat lamaran kerja di pt sebagai karyawan](https://usahamakmur.com/wp-content/uploads/2025/12/contoh-surat-lamaran-kerja-di-pt-sebagai-karyawan3.webp)
DOWNLOAD DISINI
2. Contoh Surat Lamaran Kerja di PT Sebagai Karyawan Tulis Tangan
![[DOWNLOAD] 4 Contoh Surat Lamaran Kerja di PT Sebagai Karyawan contoh surat lamaran kerja di pt sebagai karyawan](https://usahamakmur.com/wp-content/uploads/2025/12/tulis-tangan.webp)
3. Contoh Surat Lamaran Kerja di PT Sebagai Karyawan Lulusan SMA
![[DOWNLOAD] 4 Contoh Surat Lamaran Kerja di PT Sebagai Karyawan contoh surat lamaran kerja di pt sebagai karyawan](https://usahamakmur.com/wp-content/uploads/2025/12/contoh-surat-lamaran-kerja-di-pt-sebagai-karyawan.webp)
DOWNLOAD DISINI
4. Contoh Surat Lamaran Kerja di PT Sebagai Karyawan Pabrik
![[DOWNLOAD] 4 Contoh Surat Lamaran Kerja di PT Sebagai Karyawan contoh surat lamaran kerja di pt sebagai karyawan](https://usahamakmur.com/wp-content/uploads/2025/12/contoh-surat-lamaran-kerja-di-pt-sebagai-karyawan2.webp)
DOWNLOAD DISINI
Dalam menulis surat lamaran kerja harap cek double hasil tulisan yang akan kamu kirimkan ke instansi terkait apabila ada salah penulisan atau salah memberikan informasi, agar semakin besar peluang kamu diterima bekerja.
Selain bekerja sebagai apoteker kamu juga bisa menambah penghasilan lewat satu aplikasi yaitu Evermos.
Mau kerja online tanpa modal yang menguntungkan? Kamu hanya perlu bergabung jadi reseller di Evermos untuk menjualkan berbagai produk kebutuhan sehari-hari yang lengkap, murah dan berkualitas.
Gabung sekarang juga dan raih penghasilan hingga jutaan rupiah tiap bulannya!